cara mencari persentase

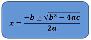
Rumus Kuadratik Atau Rumus Abc Yang Benar Adalah

Persamaan Kuadrat Pengertian Rumus Contoh Soal Pembahasan
www.yuksinau.id

Rumus Abc
www.slideshare.net

Rumus Abc Pengertian Soal Dan Pembahasan
saintif.com

3 Cara Sederhana Menentukan Akar Persamaan Kuadrat Kelas Pintar
www.kelaspintar.id

Persamaan Kuadrat 18 6y Y 0 Dengan Rumus Abc Brainly Co Id
brainly.co.id

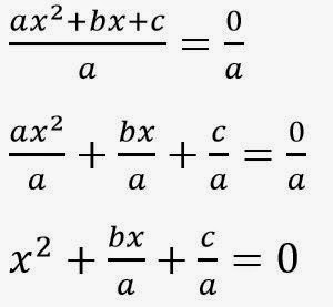
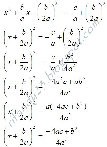
Rifandy Blog Pembuktian Rumus Kuadrat Rumus Abc
rifandy23.blogspot.com

2x X 3 0 Menggunakan Rumus Abc Brainly Co Id
brainly.co.id

Matematika1 Sma1 Pdf Document
fdokumen.com

Rumus Abc
www.slideshare.net

Rumus Abc Pengertian Soal Pembahasan Dosenpintar
dosenpintar.com

Rpp Mtk 9
id.scribd.com

Menyelesaikan Persamaan Kuadrat Materi Lengkap Matematika
www.materimatematika.com

Rumus Abc Pengertian Soal Pembahasan Dosenpintar
dosenpintar.com

Rumus Abc Rumus Dalam Mencari Akar Akar Persamaan Kuadrat
satujam.com

Rumus Persamaan Kuadrat Matematika Lengkap
rumusrumus.com

Persamaan Kuadrat Wikipedia Bahasa Indonesia Ensiklopedia Bebas
id.wikipedia.org

Pembuktian Rumus Abc Rumus Kuadrat Master Matematika Fisika
mastermatfis.blogspot.com

Rumus Abc Rumus Dalam Mencari Akar Akar Persamaan Kuadrat
satujam.com

Rumus Abc Pengertian Soal Dan Pembahasan
saintif.com

Rumus Abc Pengertian Soal Pembahasan Dosenpintar
dosenpintar.com

Contoh Soal Persamaan Kuadrat Pilihan Ganda Dan Jawaban Pembahasan
soalkimia.com

Persamaan Kuadrat Rumus Abc Akar Akar Pk Baru Contoh Soal
www.studiobelajar.com

Rumus Persamaan Kuadrat Matematika Lengkap
rumusrumus.com

Rumus Abc Dalam Persamaan Kuadrat Contoh Soalnya Lengkap
www.nesabamedia.com

Cara Membuktikan Dan Menggunakan Rumus Abc Dalam Persamaan Kuadrat Defantri Com
www.defantri.com

Rumus Abc Pengertian Soal Pembahasan Dosenpintar
dosenpintar.com

Rumus Persamaan Kuadrat Matematika Lengkap
rumusrumus.com

Menyelesaikan Persamaan Kuadrat Trik Kucing Idschool
idschool.net

Rumus Abc Untuk Menyelesaikan Persamaan Kuadrat Idschool
idschool.net

Persamaan Kuadrat Rumus Abc Penma 2b
penma2b.wordpress.com

Rumus Abc Pengertian Soal Dan Pembahasan
saintif.com

Hasil Akar Persamaan Kuadrat Dari 3x 2 5x 12 0 Adalah Menggunakan Rumus Abc Brainly Co Id
brainly.co.id

Persamaan Kuadrat Rumus Abc Penma 2b
penma2b.wordpress.com

Rumus Abc
www.slideshare.net

Rumus Persamaan Kuadrat Penyelesaian Akar Dan Contoh Soal
www.dosenpendidikan.co.id

Indikator Tujuan Menentukan Akar Persamaan Kuadrat Dengan Menggunakan Rumus Kuadratik Rumus Abc
www.scribd.com

Akar Akar Persamaan Kuadrat X 11x 28 0gunakan Rumus Abc Untuk Menyelesaikan Nya Tolong Brainly Co Id
brainly.co.id

Rpp Pers Kuadrat Lengkap
latfiya.files.wordpress.com

Rumus Persamaan Kuadrat Matematika Lengkap
rumusrumus.com

Pelajaran Soal Rumus Rumus Abc Wardaya College
www.wardayacollege.com

Persamaan Kuadrat Matematika Itu Menarik
stelaruhulessin29.wordpress.com

Pelajaran Soal Rumus Rumus Abc Wardaya College
www.wardayacollege.com

Tentukan Akar Akar Persamaan Kuadrat X2 8x 12 0 Dengan Menggunakan Metode Berikut
tripasik.com

Contoh Cara Pemfaktoran Aljabar Persamaan Kuadrat Rumus Abc
hindayani.com

Persamaan Kuadrat Rumus Abc Penma 2b
penma2b.wordpress.com

Contoh Soal Persamaan Kuadrat Pilihan Ganda Dan Jawaban Pembahasan
soalkimia.com

Rumus Persamaan Kuadrat Penyelesaian Akar Dan Contoh Soal
www.dosenpendidikan.co.id

Rumus Abc Pengertian Soal Pembahasan Dosenpintar
dosenpintar.com

Menyelesaikan Persamaan Kuadrat Trik Kucing Idschool
idschool.net

Rumus Persamaan Kuadrat Penyelesaian Akar Dan Contoh Soal
www.dosenpendidikan.co.id

Persamaan Kuadrat Lengkap Pengertian Rumus Contoh Soal
saintif.com

Persamaan Kuadrat Dan Penyelesaiannya Portal Ilmu Com
portal-ilmu.com

Rumus Abc
www.slideshare.net

Pelajaran Soal Rumus Rumus Abc Wardaya College
www.wardayacollege.com

Rumus Abc Matematika Pembuktian Pengertian Penggunaan
rumus.co.id

Rumus Abc
www.slideshare.net

Rumus Kuadrat Rumus Abc
www.slideshare.net

2x 7x 5 0 Dengan Rumus Abc Tolong Dong Cepat Brainly Co Id
brainly.co.id

Menyelesaikan Persamaan Kuadrat Dengan Rumus Kuadrat Pendidikan Matematika
yos3prens.wordpress.com

Rumus Abc Untuk Menyelesaikan Persamaan Kuadrat Idschool
idschool.net

Rumus Abc Untuk Menyelesaikan Persamaan Kuadrat Idschool
idschool.net

Tentukan Akar Akar Persamaan Kuadrat X2 8x 12 0 Dengan Menggunakan Metode Berikut
tripasik.com

Tentukan Akar Akar Persamaan Kuadrat Berikut Dengan Menggunakan Rumus Abc Yaitu X 4x 12 0 Brainly Co Id
brainly.co.id

Rumus Abc Dari Persamaan Akar Kuadrat X 7x 6 0 Brainly Co Id
brainly.co.id

Persamaan Kuadrat Menggunakan Rumus Abc Hasil Dari 3x 5x 2 0 Brainly Co Id
brainly.co.id

Menyelesaikan Persamaan Kuadrat Dengan Rumus Abc Youtube
www.youtube.com

Gunakan Rumus Abc Untuk Menentukan Himpunan Penyelesaian Persamaan Kuadrat A 2x X 3 0 B X 5x 24 0 Brainly Co Id
brainly.co.id

Menyelesaikan Persamaan Kuadrat Dengan Rumus Kuadrat Pendidikan Matematika
yos3prens.wordpress.com

Kuadrat Menggunakan Rumus Abc A 2x 5x 3 0 B 3x 13x 12 0c 2x 4x 11 Brainly Co Id
brainly.co.id

Rumus Abc Pengertian Soal Dan Pembahasan
saintif.com

Menentukan Akar Akar Persamaan Kuadrat Menggunakan Rumus Abc Cute766
cute766.info

Persamaan Kuadrat Rumus Kuadratik Rumus Abc Matematika Smp Kelas 9 Youtube
www.youtube.com

Rifandy Blog Pembuktian Rumus Kuadrat Rumus Abc
rifandy23.blogspot.com

Persamaan Kuadrat Matematika Itu Menarik
stelaruhulessin29.wordpress.com

Rumus Persamaan Kuadrat Penyelesaian Akar Dan Contoh Soal
www.dosenpendidikan.co.id

Rumus Abc
www.slideshare.net

Rumus Persamaan Kuadrat Matematika Lengkap
rumusrumus.com

Rumus Abc Pengertian Soal Dan Pembahasan
saintif.com

Pembuktian Rumus Kuadratis Rumus Abc
lapakmtk.blogspot.com

Tutorial Cara Menentukan Akar Persamaan Kuadrat Dengan Cara Melengkapkan Kuadrat Sempurna Bag 2 Youtube
www.youtube.com

Rumus Abc Dan Langkah Mudah Menyelesaikannya Pinterkelas
pinterkelas.com

Melihat Lebih Jauh Dunia Teknologi Penjelasan Rumus Abc Beserta Pembuktian Dan Referensi Soal
carajitugadget.blogspot.com

Soal Matematika Rumus Abc Kunci Dunia
kuncidunia-31.blogspot.com

Rumus Abc Dalam Persamaan Kuadrat Contoh Soalnya Lengkap
www.nesabamedia.com

Menentukan Akar Persamaan Kuadrat Jawaban Soal Tvri 21 Juli Halaman All Kompas Com
www.kompas.com

Full Version Rpp Kelompok Ix Ganjil Pages 1 27 Text Version Anyflip
anyflip.com

Akar Akar Persamaan Kuadrat Dengan Cara Rumus Abc Kuadratik Matematika Smp Youtube
www.youtube.com

Gholh1o Ocfcjm

Rumus Abc Pengertian Soal Dan Pembahasan
saintif.com

Rumus Kuadratik Rumus Abc Dari X2 5x 6 0 Brainly Co Id
brainly.co.id

Contoh Cara Pemfaktoran Aljabar Persamaan Kuadrat Rumus Abc
hindayani.com

Cara Membuktikan Dan Menggunakan Rumus Abc Dalam Persamaan Kuadrat Defantri Com
www.defantri.com

Tentukan Akar Akar Persamaan Kuadrat Berikut Dengan Menggunakan Rumus Abcx 5x 14 0 Brainly Co Id
brainly.co.id

Rumus Abc
www.slideshare.net

Mudah Dipahami 3 Cara Menentukan Akar Persamaan Kuadrat Youtube
m.youtube.com

Rifandy Blog Pembuktian Rumus Kuadrat Rumus Abc
rifandy23.blogspot.com

Rumus Abc Pengertian Soal Dan Pembahasan
saintif.com

Persamaan Kuadrat Dan Penyelesaiannya Portal Ilmu Com
portal-ilmu.com

Menentukan Akar Akar Persamaan Kuadrat Menggunakan Rumus Abc Cute766
cute766.info

Rumus Abc Pengertian Soal Dan Pembahasan
saintif.com

close