cara mencari persentase

Rumus Mencari Jumlah Deret Aritmatika

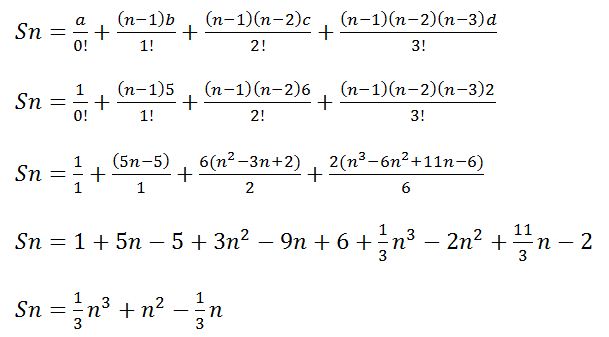
Deret Aritmetika Bertingkat Super Matematika
supermatematika.com

Kumpulan Rumus Barisan Deret Aritmatika Geometri Contoh Soal
hindayani.com

Rumus Deret Aritmatika Barisan Sifat Dan Contoh Soal
www.dosenpendidikan.co.id

Kumpulan Rumus Barisan Deret Aritmatika Geometri Contoh Soal
hindayani.com

Kumpulan Rumus Barisan Deret Aritmatika Geometri Contoh Soal
hindayani.com

Deret Aritmatika Pengertian Rumus Dan Contoh Soal
majalahpendidikan.com

Contoh Soal Barisan Dan Deret Aritmatika Geometri Pengertian Rumus Sifat Sifat Notasi Sigma Tak Hingga Hitung Keuangan Bunga Tunggal Majemuk Anuitas Matematika
www.nafiun.com

Kumpulan Rumus Barisan Deret Aritmatika Geometri Contoh Soal
hindayani.com

M302 Aljabar Deret Aritmatika Dan Geometri Pembuktian Rumus Youtube
www.youtube.com

Rumus Cepat Barisan Dan Deret Guru Ilmu Sosial
www.ilmusosial.id

Alpro Flowchart Program Mencari Deret Aritmatika Ismu Nugraha
icenugraha.wordpress.com

Pengertian Dan Rumus Deret Geometri Dan Contoh Soal Deret Geometri Berpendidikan Com
www.berpendidikan.com

Deret Geometri Beserta Soal Dan Pembahasan
www.utakatikotak.com

Rumus Barisan Aritmetika Dan Geometri Idschool
idschool.net

Rumus Cepat Barisan Dan Deret Guru Ilmu Sosial
www.ilmusosial.id

Rumus Deret Aritmatika Barisan Contoh Soal Dan Jawaban
www.gurupendidikan.co.id

Kumpulan Rumus Barisan Deret Aritmatika Geometri Contoh Soal
hindayani.com

Tutorial Menghitung Jumlah Dari N Suku Pada Deret Aritmatika 2 Matematika Smp Dan Sma Youtube
www.youtube.com

Rumus Cepat Jumlah Deret Aritmatika Guru Ilmu Sosial
www.ilmusosial.id

Rumus Barisan Dan Deret Aritmatika Dan Geometri Serta Pembahasan Dan Perbedaannya Jogjamatematika
jogjamatematika.wordpress.com

Jumlah 13 Suku Pertama Dari Barisan Bilangan Ganjil Adalah Brainly Co Id
brainly.co.id

Pengertian Dan Rumus Deret Geometri Dan Contoh Soal Deret Geometri Berpendidikan Com
www.berpendidikan.com

Cara Menentukan Jumlah N Suku Pertama Deret Aritmetika Youtube
m.youtube.com

Rumus Jumlah N Suku Pertama Deret Aritmatika Dinyatakan Sn N 3 N Nilai Suku Ke 15 Tersebut Brainly Co Id
brainly.co.id

Pembuktian Rumus Deret Aritmatika Dan Contoh Soal Edumatik Net
edumatik.net

Soal Dan Pembahasan Barisan Dan Deret Aritmatika
www.edutafsi.com

Barisan Dan Deret Aritmetika Pendidikan Matematika
yos3prens.wordpress.com

Tentukan Jumlah Deret Aritmatika Berikut 6 4 2 8 Brainly Co Id
brainly.co.id

Contoh Soal Barisan Deret Aritmatika Pilihan Ganda Pembahasan
soalkimia.com

Rumus Deret Aritmatika Pengertian Dan Rumus Serta Contoh Soalnya
gurusekolah.co.id

Rumus Deret Aritmatika Barisan Sifat Dan Contoh Soal
www.dosenpendidikan.co.id

Jika Rumus Jumlah N Suku Pertama Suatu Deret Aritmetika Sn 3n N Besar Suku Ke 25 Youtube
m.youtube.com

Contoh Soal Barisan Deret Aritmetika Pembahasan Soalfismat Com
soalfismat.com

Rumus Barisan Deret Aritmatika Dan Contoh Soalnya
rumus.co.id

Deret Bilangan Aritmatika Dan Geometri Dalam Matematika
rumusrumus.com

Tutorial Menghitung Jumlah Dari N Suku Pada Deret Aritmatika 1 Matematika Smp Dan Sma Youtube
www.youtube.com

Barisan Dan Deret Menentukan Rata Rata Dari Deret Geometri Mean Geometric 11 Menentukan Jumlah Pdf Document
fdokumen.com

Rumus Barisan Dan Deret Aritmatika Dan Contoh Soal Aritmatika
rumusbilangan.com

Pembuktian Rumus Deret Aritmatika Dan Contoh Soal Edumatik Net
edumatik.net

Contoh Soal Barisan Deret Aritmatika Pilihan Ganda Pembahasan
soalkimia.com

Barisan Dan Deret Geometri Tak Hingga Materi Lengkap Matematika
www.materimatematika.com

Deret Aritmatika Rumus Lengkap Dan Contoh Soalnya
saintif.com

Barisan Dan Deret Zulfarida Arini
zulfaridaarini48.wordpress.com

A Baris Dan Deret Aritmatika
studylibid.com

Tentukan Jumlah 20 Suku Pertama Dari Deret Aritmetika 60 54 48 42 Brainly Co Id
brainly.co.id

Cara Smart Dan Mudah Menentukan Jumlah N Suku Pertama Deret Barisan Aritmetika Youtube
www.youtube.com

Deret Aritmatika Rumus Lengkap Dan Contoh Soalnya
saintif.com

Cara Cepat Mencari Jumlah Suku Deret Aritmatika
mafia.mafiaol.com

Diketahui Deret Aritmatika 1 4 7 10 Tentukan Rumus Suku Ke N Rumus Jumlah N Suku Pertama Brainly Co Id
brainly.co.id

Mediabelajar Uus Barisan Dan Deret Aritmatika Bertingkat
www.mediabelajar-uus.com

Barisan Dan Deret Aritmatika
www.utakatikotak.com

Rumus Deret Aritmatika Barisan Contoh Soal Dan Jawaban
www.gurupendidikan.co.id

1
encrypted-tbn0.gstatic.com

Rumus Deret Aritmatika Dan Deret Geometri Contoh Soal
rumusbilangan.com

Ppt Barisan Dan Deret Powerpoint Presentation Free Download Id 5119599
www.slideserve.com

Pengertian Dan Rumus Deret Geometri Dan Contoh Soal Deret Geometri Berpendidikan Com
www.berpendidikan.com

Deret Aritmatika Pengertian Rumus Sifat Dan Contoh Soal
www.berpendidikan.com

Matematika Kelas 11 Barisan Dan Deret Geometri Rumus Un Sn Dan Jenis Jenis Deret Geometri Tak Hingga
blog.ruangguru.com

Cara Cepat Mencari Jumlah Suku Deret Aritmatika
id.scribd.com

Tentukan Rumus Jumlah N Suku Pertama Pada Deret Deret Aritmatika Berikut Jika Aritmatika Youtube
www.youtube.com

Rangkuman Barisan Dan Deret
maths.id

Elfandora S Menentukan Rumus Un Dan Sn Untuk Deret Aritmetika Bertingkat
elfandora.blogspot.com

Cara Cepat Mencari Jumlah Suku Deret Aritmatika
id.scribd.com

Cara Cepat Mencari Nilai Suku Barisan Aritmatika
mafia.mafiaol.com

Contoh Soal Barisan Aritmatika Blog Pendidikan
ruangguru-902.blogspot.com

Tentukan Jumlah 45 Bilangan Asli Pertama Yang Habis Dibagi 4 Tentukan Pula Suku Tengahnya Brainly Co Id
brainly.co.id

Deret Aritmetika Dan Contoh Soalnya Madematika
www.madematika.net

Deret Aritmatika Pengertian Rumus Sifat Dan Contoh Soal
www.berpendidikan.com

Barisan Dan Deret Geometri Soal Pembahasan
www.yuksinau.id

Deret Aritmatika Rumus Contoh Soal Materi Cara Mengerjakan
www.pintarnesia.com

Rumus Barisan Aritmetika Dan Geometri Idschool
idschool.net

Buku Siswa Barisan Dan Deret
www.slideshare.net

Deret Aritmatika Deret Bilangan Rumus Deret Aritmatika Contoh Soal Deret Aritmatika Deret Aritmatika Dan Bilangan Geometri Arithmetic Progression Berbagaireviews Com
www.berbagaireviews.com

Pengertian Rumus Dan Contoh Soal Barisan Dan Deret Aritmatika Beserta Jawabannya Paling Lengkap Sekolahan Co Id
www.sekolahan.co.id

Https Www Mediabelajar Uus Com 2019 01 Barisan Dan Deret Aritmatika Bertingkat Html

Barisan Aritmatika Bertingkat Konsep Dasar Rumus Dan Contoh Soal Matematika Kelas 8
blog.ruangguru.com

Doc Barisan Dan Deret Aritmatika Les Privat Sahabat Academia Edu
www.academia.edu

Rumus Deret Aritmatika Barisan Contoh Soal Dan Jawaban
www.gurupendidikan.co.id

1
encrypted-tbn0.gstatic.com

Mencari Un Dan Sn Barisan Deret Aritmetika Bertingkat Dengan Sistem Persamaan Linier N Variabel Bag I Pendidikan Matematika
pmat.uad.ac.id

Barisan Dan Deret Aritmatika Geometri Contoh Soal Pembahasan
www.yuksinau.id

Rumus Barisan Aritmetika Dan Geometri Idschool
idschool.net

Https Encrypted Tbn0 Gstatic Com Images Q Tbn 3aand9gcsnh4vmvk9ub 0nom4mjp1 Siigffyyrk Itxuabshbzskasigb Usqp Cau
encrypted-tbn0.gstatic.com

Rumus Barisan Aritmetika Dan Geometri Idschool
idschool.net

Menentukan Banyak Suku Deret Aritmatika
maths.id

Barisan Dan Deret 3g
www.slideshare.net

Rumus Cepat Mencari Rasio Geometri Guru Ilmu Sosial
www.ilmusosial.id

Barisan Dan Deret Aritmatika Dan Geometri Dedari Kheita Xiimia4 10
fourzaxiimia4.blogspot.com

Elfandora S Menentukan Rumus Un Dan Sn Untuk Deret Aritmetika Bertingkat
elfandora.blogspot.com

Cara Mudah Mengerjakan Soal Barisan Aritmatika Dan Geometri
ehsanhidayat.blogspot.com

Kumpulan Rumus Barisan Deret Aritmatika Geometri Contoh Soal
hindayani.com

Matematika Kelas 8 Barisan Dan Deret Aritmatika Rumus Un Sn Dan Rumus Cepat
blog.ruangguru.com

Diketahui Rumus Jumlah Suku Pertama Ditanyakan Suku Ke N Deret Aritmatika Smk Akp 2018 Youtube
www.youtube.com

Pembuktian Rumus Deret Aritmatika Dan Contoh Soal Edumatik Net
edumatik.net

Deret Geometri Pendidikan Matematika
yos3prens.wordpress.com

Penjelasan Rumus Deret Aritmatika Dan Contoh Soal Deret Aritmatika Dan Jawaban Iseng Nulis
isengnulis.com

Barisan Dan Deret Aritmatika Geometri Tak Hingga Rumus Contoh Soal
www.studiobelajar.com

Barisan Dan Deret Aritmetika Contoh Dan Penjelasannya
passinggrade.co.id

Cara Menghitung Jumlah Suku Dalam Deret Aritmetika Brainly Co Id
brainly.co.id

Rumus Cepat Barisan Dan Deret Guru Ilmu Sosial
www.ilmusosial.id

Diketahui Deret Aritmatika Dengan Jumlah Suku Ke N Sn 3n 4n Rumus Suku Ke N Adalah Brainly Co Id
brainly.co.id

Rumus Deret Aritmatika Barisan Contoh Soal Dan Jawaban
www.gurupendidikan.co.id

Source Code Aplikasi Untuk Menghitung Jumlah Dari Deret Bilangan Ganjil Dan Genap C Hi Codding
www.hi-codding.net

close